Hogar » Noticias » Noticias de la compañía » Tech Forum: BT Substrate permite el progreso del empaque avanzado

Tech Forum: BT Substrate permite el progreso del empaque avanzado

Vistas:0     Autor:Editor del sitio     Hora de publicación: 2023-06-16      Origen:Sitio

Preguntar

twitter sharing button
facebook sharing button
line sharing button
wechat sharing button
linkedin sharing button
pinterest sharing button
whatsapp sharing button
sharethis sharing button

La tecnología de envasado avanzada ahora juega un papel fundamental en la extensión de la ley económica de Moore.Ayuda a superar los crecientes costos de fabricación y los problemas de administración de energía al tiempo que logra ganancias de velocidad asociadas con el diseño monolítico de cada nuevo nodo de transistor.

Hay varias formas de clasificar las tecnologías de envasado avanzadas.Las definiciones no se aplican de manera consistente en toda la industria.En general, incluyen Empaquetado a nivel de oblea Fan Out (FOWLP), 2.5D, 3D-IC y System-in-Package (SiP).Sin embargo, WLCSP, FCBGA y FCCSP generalmente también se incluyen en algunas encuestas de mercado.Aunque actualmente la mayoría (>70 %) de los paquetes de chips todavía se ensamblan mediante unión por cable, se está acelerando una tendencia de transición a paquetes de chips invertidos para productos de alto rendimiento y se espera que disfrute de una alta tasa de crecimiento del mercado, como los paquetes 2.5D/3D y SiP. En los próximos años.

El uso del enfoque de empaquetado de chiplet permite ensamblar múltiples troqueles con funciones discretas en diferentes nodos de diseño para ofrecer un rendimiento integrado a nivel de módulo.Como se muestra en las Figuras 1 y 2, existen varias tecnologías que se pueden considerar para adaptarse a las especificaciones específicas de las características del cableado.Las selecciones de materiales, restringidas por propiedades físicas, condiciones de procesamiento y reglas de diseño, varían en cada caso individual.Cuando aumenta la densidad del cableado del paquete, hay un cambio en el uso del conjunto de materiales del sustrato.Esta transición de sustrato orgánico a soporte basado en silicio se ve afectada por varios factores, como la herramienta de litografía, el tamaño de la retícula y, lo que es más importante, las propiedades físicas del material y la jerarquía de temperatura de procesamiento.

Figura 1. Tecnología para diferentes funciones de cableado (edición HIR 2021)

Figura 2. Una descripción general de los tipos de empaque avanzados (sinopsis)

La industria adopta ampliamente la computación de alto rendimiento (HPC), 2.5 y empaques 3D que utilizan intercaladores de silicio para llevar a cabo una integración heterogénea.Para la informática móvil, limitada por el tamaño y la altura del paquete, el ensamblaje de paquete sobre paquete (PoP) es empleado por el procesador de aplicaciones de interconexión, la memoria, el sensor, los componentes pasivos, etc. para construir un subsistema o módulo a nivel de sistema.Se utilizan varios métodos para lograr conexiones de paquete a paquete, que incluyen golpe de soldadura, TMV (Through Mold Via), Cu post (por ejemplo, Through-InFO-Via TiV de TSMC), enlace a través de una matriz (BVA), Cu independiente alambre, etc

Se necesitan muchos materiales para construir las estructuras bastante complejas descritas anteriormente.Incluyen materiales indirectos relacionados con el proceso, como fotoprotector, película de unión, fundente de soldadura, obleas portadoras de vidrio y metal para unión temporal, etc. Para completar varios esquemas de interconexión en el paquete, una serie de materiales directos clave que incluyen RDL fotosensible (capa de redistribución) El material, la película de fijación por troquel, el revestimiento amortiguador de tensión, la película de construcción, la pasta de soldadura, el sustrato, mSAP Cu, la máscara de soldadura, etc. se han desarrollado para cumplir con los requisitos de empaque de alta densidad.

Tomando como ejemplo la conexión de golpe de soldadura, el paquete flip chip ha pasado de la soldadura de estaño/plomo sin emisión de partículas alfa de alto punto de fusión a aleaciones SAC (Sn/Ag/Cu) y estaño/plata (Sn/Ag) sin plomo.El proceso de enlace híbrido de cobre a cobre ahora se ha utilizado para permitir la unión de paso fino a nivel de silicio, como conexiones de matriz a matriz y de oblea a oblea.Destinadas a procesos de unión a baja temperatura, las aleaciones que contienen indio (In) y bismuto (Bi) se utilizan para conectar dispositivos sensibles a la temperatura.

El relleno inferior del chip Flip brinda protección al tiempo que garantiza la confiabilidad al reducir la tensión mecánica en las conexiones de soldadura inducida por la falta de coincidencia de CTE (Coeficiente de expansión térmica) entre la matriz de silicio y el soporte durante el ciclo térmico.Las formulaciones generalmente se basan en resinas termoestables de epoxi o éster de cianato.Es necesario cargar un material de relleno para controlar el CTE y el módulo del material.Los rellenos inferiores líquidos se desarrollaron primero con resina epoxi líquida y una mezcla de sílice fundida de bajo contenido alfa.Después de dispensar a lo largo del borde de la matriz, la resina se mueve debajo de la viruta por fuerza capilar y puede formar bonitos filetes alrededor de la matriz para su inspección.Posteriormente, la resina se endurece mediante curado térmico para completar el proceso.Dado que la geometría del relleno, la cantidad y el agente de acoplamiento utilizados influyen en la característica de flujo, el trabajo posterior involucró el uso de esferas de sílice sintética con tamaños mixtos para controlar el CTE y optimizar las propiedades de flujo.Más esfuerzos de desarrollo dieron como resultado un relleno inferior sin flujo (pasta no conductora, NCP), una película no conductora (NCF), un relleno inferior apto para etapas de nivel B de obleas, resinas reprocesables, etc. para satisfacer diversas necesidades de envasado avanzadas.Molded Underfill (MUF) combina el moldeado y la encapsulación de flip chip en un solo paso, lo que elimina la necesidad de dispensar y curar resina.Ofrece la ventaja de mejorar la eficiencia de la producción;por lo tanto, ha ganado aceptación en la industria.Para mejorar la confiabilidad a nivel de placa, las resinas de relleno también han extendido su uso a algunos procesos de unión de CSP y BGA.

Para seleccionar el mejor ajuste para un diseño de paquete determinado, se deben tener en cuenta muchas características del material.Además del silicio, se han utilizado tres tipos principales de materiales a base de resinas orgánicas como base para el cableado de circuitos.La Figura 3 ilustra un paquete FOWLP de dos matrices.El conjunto de materiales de fibra óptica consta de matriz de silicona, compuesto de moldeo epoxi (EMC) y capas RDL de poliimida con conexiones perforadas con láser.El soporte orgánico inferior está hecho de 3 capas de acumulación ABF (Ajinomoto Build-up Film) en un núcleo laminado construido con ocho capas de preimpregnados de vidrio epoxi BT con PTH perforados mecánicamente (agujero pasante chapado).

La Tabla 1 muestra las características clave de los materiales utilizados para construir este paquete.Se enumeran los valores típicos para cada tipo de material.Sin embargo, las propiedades físicas varían con la composición de un material que habitualmente se ajusta para cumplir con los requisitos específicos de procesamiento y rendimiento del paquete.


Figura 3. Multichip FOWLP en sustrato BT - ASE FOCoS (HIR, edición 2021)


Tabla 1 Propiedades del material de empaque*Tg por DSC (NIST, INVACU, datos del proveedor)



FOWLP es un tipo de empaque de rápido crecimiento que se utiliza para aplicaciones avanzadas.Se deriva del concepto WLCSP que Infineon dio a conocer y puso en producción por primera vez en la década de 2000.STATS ChipPAC (ahora una subsidiaria de JCET) más tarde fue el primero entre los OSAT en comenzar la fabricación de alto volumen.A diferencia del WLP convencional, el paquete FO para el que el área de conexión basada en RDL es más grande que la escala del chip requiere el uso de un conjunto separado de materiales y equipos.En comparación con el enfoque del intercalador de silicio, FOWLP ofrece una opción menos costosa para las interconexiones de matriz múltiple.

Los nuevos desarrollos han llevado a varias variantes de proceso para producir ensamblajes FOWLP adecuados para la integración avanzada de empaques.Ofrece varias ventajas, como un tamaño más pequeño, un costo más bajo, la eliminación del proceso de golpes y flexibilidad en el cableado que facilita la integración en paquetes avanzados.

Después de examinar el paquete mencionado anteriormente en detalle, uno puede notar que la característica de línea/espacio del circuito en FOWLP, que usa silicio y EMC como base, es mucho más pequeña que las que se muestran en el portador de chip orgánico construido sobre laminado epoxi BT.Esta diferencia sustancial también se ilustra bien en las Figuras 1 y 2.

La formación de cableado de paso fino con un registro multicapa preciso requiere el uso de portadores dimensionalmente estables.En este sentido, el silicio en comparación con el sustrato orgánico, como se muestra en los ejemplos anteriores, sería una opción superior.Esto se debe a que varios factores complejos afectan inherentemente la estabilidad dimensional de los sustratos orgánicos de BT.Estos podrían incluir la formulación de resina, las propiedades termomecánicas del laminado, las condiciones de procesamiento y los efectos ambientales.Vamos a discutir temas relacionados con más detalle:

Sustrato BT

a.Formulación de resina

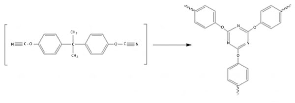
BT significa bismaleimida-triazina.Es una formulación termoendurecible que consta de dos componentes, bismaleimida y resina de éster de cianato.Las estructuras químicas se muestran en la Figura 4. La triazina se refiere al producto de reacción del éster de cianato a través de la reacción de ciclotrimerización después del curado térmico.

A

B

Figura 4. Componentes de la resina BT: formación de bismaleimida (A) y triazina a partir de bis-cianato éster (B)



i.Resina de bismaleimida

La bismaleimida es un tipo de poliimida que tiene una estructura química preimidada que no produce volátiles durante el curado.Debido a que exhibe una excelente resistencia térmica y se puede procesar con el mismo equipo que los termoestables convencionales, esta clase de resinas se formuló con agentes de curado de diamina y se usó para compuestos aeroespaciales avanzados y aplicaciones de placas de circuito impreso.

ii.Resina de éster de cianato

El desarrollo de la tecnología de resina de éster de cianato comenzó en la década de 1960.Los monómeros se sintetizaron con éxito por primera vez a partir de fenoles aromáticos.El uso más común se basa en dicianato derivado de bisfenol A, que también es una materia prima para muchas resinas epoxi.La primera resina de dicianato, Triazine A, se introdujo en la industria de las placas de circuitos a mediados de la década de 1970.Las resinas de éster de cianato se pueden mezclar con una amplia variedad de termoestables como epoxis, bismaleimidas o acrilatos para formar mezclas compatibles.

Este tipo de resina demuestra propiedades eléctricas superiores a los epoxis.La constante dieléctrica y el factor de pérdida de la resina curada son más bajos que los del FR-4.Se han desarrollado varias formulaciones a base de éster de cianato y se han encontrado aplicaciones específicamente para aplicaciones de empaque de microelectrónica, que incluyen: relleno inferior, revestimiento, adhesivo, encapsulante, sustrato portador de chip, película dieléctrica de acumulación, placas de circuito impreso (PCB), fotoprotector, etc. también se ha incluido en formulaciones para una amplia gama de aplicaciones en la industria de compuestos avanzados.

iii.Laminados BT

Al mezclar con metileno dianilina bismaleimida, Mitsubishi Gas Chemical Company desarrolló por primera vez un sistema de resina BT basado en éster de cianato.El sustrato BT es una extensión de la tecnología de laminado de circuito impreso.Las formulaciones básicas suelen incluir el uso de más del 50% en peso de resinas epoxi.

Las mezclas BT-epoxi muestran una buena solubilidad en solventes orgánicos como la metiletilcetona (MEK) para el proceso de impregnación.El sustrato BT utilizado para aplicaciones de soporte de chips es un laminado compuesto que tiene tejido de vidrio como refuerzo.En comparación con el FR-4 convencional, las resinas epoxi BT exhiben una alta Tg (temperatura de transición vítrea) y una resistencia térmica mejorada que permite que el material resista el procesamiento de ensamblaje a alta temperatura y un entorno de operación de calor elevado.Estas son algunas de las características clave que los hacen más adecuados para aplicaciones de sustratos de chips.

Su proceso de fabricación sigue el flujo de producción de PCB convencional.Los pasos clave son la impregnación, la etapa B, la laminación preimpregnada y la circuitización.Al tener una estructura multicapa, el sustrato BT permite la inclusión de troqueles integrados y componentes pasivos, como dispositivo activo, troquel intercalador, capacitor, dispositivos MEMS, etc.

Al construir un laminado epoxi BT, múltiples materiales y pasos de proceso utilizaron tensiones mecánicas inherentemente inducidas que afectan la estabilidad dimensional del material y requieren atención y controles especiales.

b.Tg y CTE

Como regla general, la Tg de la resina termoendurecible surge junto con el perfil de curado y se estabiliza después de alcanzar un alto grado de conversión.Por lo tanto, las condiciones de procesamiento afectan la Tg final del material, que generalmente está por debajo o alrededor de la temperatura de curado final.

Dependiendo de sus estructuras químicas, las resinas de cianato puro exhiben fácilmente Tg superiores a 280°C después del curado completo.En consecuencia, esta característica excluye el uso de una prensa de fábrica de PCB convencional, con una temperatura máxima de operación de ~180°C por calentamiento de agua a presión, para realizar la laminación y completar un curado completo.Por lo tanto, un enfoque de formulación común consiste en agregar varios niveles de epoxis para reducir la Tg mientras se modifica la procesabilidad de la resina y se ajustan las propiedades, como las propiedades mecánicas, la inflamabilidad, etc. desarrollar todas las propiedades del material.

Como se discutió, los termoestables alcanzan una Tg estable cuando completan la reacción de entrecruzamiento.La resina curada pasa por una fase de transición de un estado amorfo a un estado gomoso cuando la temperatura se eleva por encima de su Tg.Esta transformación de volumen libre da como resultado cambios drásticos en el módulo, la elongación y el CTE de la resina que afectan la estabilidad dimensional e inducen tensiones derivadas del desajuste térmico en varias interfaces.

Con la ayuda del refuerzo de fibra de vidrio, el laminado rígido presenta un CET en el plano xy cercano al del Cu (17 ppm/°C).Esta característica minimiza el desajuste térmico interfacial entre el sustrato y el circuito.Como resultado de la restricción en el plano, el CTE del eje z del sustrato normalmente supera los 40 ppm/°C;por lo tanto, ejerce tensión interfacial en las PTH durante el ciclo térmico.La mezcla de rellenos de bajo CTE con la resina matriz reduce aún más los CTE en todas las direcciones;sin embargo, este tipo de formulación tiende a traer más variables que necesitan más atención durante la producción.

La resistencia al pelado del cobre del epoxi BT es adecuada pero ligeramente menor que la del FR-4.Sin embargo, este valor se ve afectado por varias variantes, como el pretratamiento de la superficie, el método de circuitoización y los tipos de láminas de cobre utilizadas.

C. Tela de Vidrio y Control Dimensional

La mayoría de los laminados BT están fabricados con tejido E-glass.Otros grados de hilos de vidrio, como vidrio S, vidrio D, vidrio L y sílice fundida, que tienen un CTE y una constante dieléctrica más bajos, se producen en volúmenes más pequeños.Difieren en composición química y propiedades físicas.Se encuentra disponible una amplia selección de telas tejidas con diferentes grosores, pesos y construcciones de hilo.La tela liviana hecha de hilo fino puede producir preimpregnados con un espesor prensado final tan delgado como 25-35um.

La tela de vidrio es el elemento de soporte clave para la fabricación de preimpregnados.El proceso de producción implica la impregnación de tejido de vidrio con una solución de resina utilizando un tratador (recubridor).El calentamiento posterior elimina el solvente de la tela saturada de resina hasta que se seca y cura parcialmente la resina, lo que da como resultado un preimpregnado de etapa B.Entre varios parámetros clave que deben controlarse están el contenido de resina, el flujo de viscosidad y el grado de curado por debajo del punto de gel de la resina.

Las reacciones de reticulación entre los tres componentes de la resina son complicadas y difíciles de caracterizar.Se hicieron varios intentos para establecer la relación estructura-propiedad de las mezclas de resinas.Los mecanismos probables han sido objeto de varios estudios de modelos espectroscópicos y propuestos por varios grupos de investigación.

Luego, una o más capas de preimpregnados se intercalan con láminas de cobre bajo calor y presión para formar núcleos rígidos de laminado revestido de cobre (CCL) para una mayor circuitización.El contenido de resina en los preimpregnados fabricados con tela fina y ligera suele ser superior al 60 % en peso.

La fabricación de dispositivos front-end y capas RDL en soporte de silicio utiliza procesos de varios pasos para construir capas de circuitos secuencialmente.De manera similar, el proceso de laminación permite la inclusión de múltiples capas de cableado utilizando núcleos circuitoizados ensamblados 'paralelamente' en un solo paso.Las interconexiones a planos de circuitos internos se logran tanto vía como PTH.

Al ser un compuesto laminado, el sustrato BT-epoxi sufre movimientos dimensionales durante la fabricación y exposición a la humedad o ciclos térmicos.Es necesario un registro preciso de la capa interna para lograr conexiones de cableado confiables. Sin embargo, tanto los pasos de impregnación como de laminación introducen esencialmente muchos factores que influyen en la estabilidad dimensional del material y necesitan un control cuidadoso.Las tensiones residuales derivadas del tejido de la tela, la impregnación bajo tensión, la contracción del curado de la resina y la laminación de preimpregnado contribuyen a ciertos grados de tolerancia dimensional del laminado, movimiento y deformación.

Por lo general, debido a las tensiones inducidas por el tejido de vidrio, el laminado de una sola capa tiende a deformarse más y a ser menos estable dimensionalmente.Por lo tanto, si el requisito de espesor lo permite, un enfoque es cruzar capas uniformes de preimpregnados para equilibrar estos inconvenientes.Cuando se elige un conjunto de materiales, es importante comprender qué factores influyen en el movimiento mínimo del material y qué tan consistente y reproducible se mueve;por lo tanto, la compensación del material gráfico litográfico puede implementarse en consecuencia.

d. Sensibilidad a la humedad

Aunque las resinas de éster de cianato exhiben varias propiedades superiores a las de los epoxis, se sabe que son sensibles a la humedad.Es importante evitar que la humedad afecte las reacciones químicas de la resina durante la fabricación, el almacenamiento y la manipulación del preimpregnado.Catalizados por sales organometálicas, los cianatos aromáticos se trimerizan para formar una estructura de anillo estable de cianurato, s-triazina.Sin embargo, en presencia de agua, los cianatos de arilo se hidrolizan fácilmente en fracciones de carbamato que liberan gas dióxido de carbono al calentarse.Esta reacción secundaria induce la formación de ampollas en los laminados y degrada las propiedades finales del material.

Con el control adecuado, los laminados epoxi BT de curado total muestran buena resistencia a la humedad y la delaminación.La existencia de una interfase resina/fibra de vidrio y el volumen libre en la resina sólida influyen en la difusión de la humedad en el laminado.El tratamiento del agente de acoplamiento en la tela aumenta la adhesión de fibra de vidrio/resina y mejora la resistencia a la humedad.La absorción de humedad sigue el perfil típico de Fickain tipo II y la desorción se completa con calor.Los efectos higrotérmicos sobre la estabilidad dimensional del laminado incluyen el movimiento xy en el plano y la deformación fuera del plano.Como se incluyen múltiples componentes en los laminados, las características de alabeo de un sustrato son bastante complicadas y ejercen un impacto directo en su capacidad para el patrón de líneas finas en la superficie del soporte.Esta función debe controlarse adecuadamente para evitar pérdidas de rendimiento no deseadas en el paso de circuitización.

Se sabe que las resinas epoxi BT muestran una buena resistencia a la formación de filamentos anódicos conductores (CAF).Este fenómeno se relaciona con un modo de falla que se encuentra en el laminado de circuito multicapa en el que los filamentos metálicos pueden crecer a partir de una vía recubierta de cobre o PTH a lo largo del hilo de fibra de vidrio para causar un cortocircuito eléctrico en los planos cu adyacentes.La aparición de CAF está influenciada por la presencia de humedad, impurezas iónicas, polarización eléctrica, una débil adhesión interfacial de fibra de vidrio/resina y calor.CAF se ha relacionado principalmente con orificios perforados mecánicamente en los que la interfaz de fibra/resina debilitada a menudo servía como punto de iniciación para el crecimiento del filamento.

El laminado epoxi BT, frecuentemente en combinación con capas de acumulación ABF, se ha utilizado para una variedad de aplicaciones, que van desde un solo chip hasta paquetes avanzados como sustrato FO, PoP, SiP, dispositivo/componente integrado, multichiplet HI y Productos apilados 2,5/3D.Hay una diversidad de diseños de sustrato disponibles.Tome productos de memoria, por ejemplo, se sabe que actualmente una gran cantidad de DDR4 comerciales están conectados a través de un enlace de cable en el paquete de epoxi BT FBGA (BOC) de ventana usando solo una capa de circuito;Si bien comenzó hace unos años, ciertos DDR2 ya se enrutaron con RDL y usaban la fijación de pilares de cobre al sustrato para aplicaciones especiales.

Como material compuesto, las propiedades físicas inherentes del sustrato epoxi BT plantean algunas limitaciones para el patrón de líneas finas donde se necesita una superficie plana y dimensionalmente estable.Estas características han sido ilustradas en discusiones previas.Por lo tanto, materiales como el silicio y el vidrio en los que se pueden formar fácilmente circuitos de paso fino mediante procesos de deposición de película delgada se convierten en soluciones alternativas, aunque más caras, para el cableado de alta densidad.

mi. Mercado de sustratos

El sustrato IC es un subconjunto del mercado de placas sin procesar de PCB USD80B+.Impulsadas por los requisitos de integración HPC, móvil, 5G, automotriz y chaplet, las ventas de sustratos están creciendo a una tasa anual de más del 20 % durante los últimos años (Figura 5).Las cadenas de suministro de sustratos de BT se concentran en Asia.Los principales proveedores incluyen Unimicron, Kinsus, NYPCB, ASE, Zing Ding, LG Innotek, SimmTek, SEMCO, Daeduck, Shannan, etc.

Figura 5. Crecimiento del mercado de sustratos IC * FCCSP/FC-BOC, WB PBGA/CSP, Módulo

(Presentación de AT&S Q1 2022/23, Prismark)

Se prevé que un aumento del factor de forma del paquete y del número de capas impulsará el crecimiento del mercado de sustratos de BT (figura 6).En el gráfico se ilustran varios impulsores clave.En la Figura 7 se muestra un ejemplo de un paquete de antena en paquete (AiP)/SiP. La aplicación de telefonía móvil relacionada con ondas de 5Gmm es uno de los principales segmentos del mercado que impulsa la demanda de uso de sustrato.Su tendencia de desarrollo se centra en el paquete más pequeño y delgado relevante para aplicaciones de frecuencias más altas y multibanda.Otra área de crecimiento del mercado se relaciona con el uso de sustrato de mayor volumen proyectado para productos de memoria.Los subestados para HBM, eMMC y FCCSP para DDR5 se beneficiarán de un ASP más alto.También se espera una mayor expansión del mercado doméstico de sustratos BT con YMTC de China y Hefei ChangXin entrando en ciclos de expansión.


Figura 6. Proyección de crecimiento del mercado de sustratos de BT (Goldman Sachs Global Investment Research 11/2022)


Figura 7. Implementación de AiP en FEM para Asus ZenFone 4 Pro (transmisión web del Grupo Yole)


El empaquetado avanzado permite el montaje de troqueles (chiplets) con distintas funciones en varios nodos tecnológicos para lograr la integración del sistema a nivel de paquete.La tecnología de sustratos evoluciona continuamente y se convierte en uno de los facilitadores clave para facilitar esta tendencia y experimentar un crecimiento continuo del mercado.


Ponerse en contacto

Piso 3, Bloque, 5 Número 2 Waltai Road, Distrito de Wanjiang, Ciudad de Dongguan, Provincia de Guangdong, China
Teléfono: +86-13549368780
Teléfono: +86-0769-21665206
Correo electrónico: jennie@merryelc.com
Contáctenos
Derechos de autor 2023 Dongguan Merry Electronic Co., Ltd. | Sitemap |Con apoyo de Leadong | política de privacidad